- 主要科研进展
 
FeSe单晶的高压研究揭示磁有序与超导的竞争关系
2016-07-20
铁基高温超导体的母体化合物中,随着温度降低往往会发生四方-正交结构相变,造成旋转对称性的破缺(C4→C2),形成电子向列序(nematic order),而且在向列序发生的同时或者稍低温度会进一步出现长程反铁磁序。通过化学掺杂或者施加压力等调控手段将磁有序和向列序抑制掉会诱导高温超导电性。因此,澄清向列序、磁有序和超导电性的相互关联或竞争关系被认为是理解铁基非常规超导机理的关键。
在铁基超导体系中,FeSe具有最简单的晶体结构,但是却表现出诸多奇特反常的物理性质,成为近来的研究热点。一方面,虽然FeSe在Ts≈90K也发生四方-正交结构相变,但是与其它铁基超导体系截然不同是,FeSe在向列相内并没有形成长程反铁磁序。然而,通过施加压力可以在FeSe中诱导长程反铁磁序。目前对FeSe中电子向列序到底是起源于自旋涨落还是轨道序仍存在很大争议。另一方面,无需化学掺杂或施加外压,FeSe在正交对称性的向列相内就可以出现Tc≈9K的超导电性。通过对FeSe单晶进行碱金属、有机分子或其它离子插层、施加高压、离子液体电场调控、或者在SrTiO3衬底上生长单层FeSe薄膜等多种途径,都可以大幅度提高其Tc至30-40K以上,进入高温超导行列。那么,FeSe是如何从低Tc转变为高温超导体的呢?如前所述,铁基非常规超导体系中高温超导的实现往往伴随着正常态的向列序和磁有序的消失。尽管对FeSe基超导体的大量研究表明电子掺杂是实现高温超导的关键,但是目前已有的实验结果并没有给出高温超导与向列序、甚至磁有序之间的具体关系。
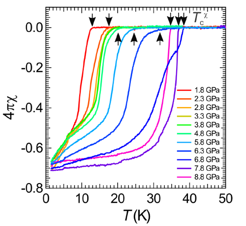
最近,中国科学院物理研究所/北京凝聚态物理国家实验室(筹)极端条件物理实验室EX6组的研究生孙建平、叶光洲(云南大学联培生)在程金光特聘研究员的指导下,采用在中科院物理所搭建的国内第一套立方六面砧大腔体高压低温物性测量装置(可同时实现15GPa静水压、1.5K最低温和9T磁场),详细测量了FeSe单晶高压下电阻率(图2,3)和交流磁化率(图4),首次给出了FeSe单晶完整的温度-压力相图(图 1),具体阐明了电子向列序、高压诱导的磁有序和超导相之间的相互竞争关系,揭示了高温超导是如何逐步实现的。
如图1 所示,随着压力升高,四方-正交结构相变(电子向列序)温度Ts逐渐降低,1.5GPa时Ts降到50K以下, 同时在Tm≈20K开始出现长程磁有序,这表明向列序和磁有序之间存在竞争关系。随着压力的继续增加,Ts外推至2GPa时将完全消失,而Tm则逐渐升高,在~4.5GPa时到达最高的45K,之后又逐渐降低,呈现出圆顶状Tm(P),其两端分别外推至1GPa和8GPa附近。伴随着向列序和磁有序在压力下的消失和出现,超导转变温度Tc表现出一系列相应的特征变化:随着Ts的降低Tc首先升高,在~1GPa附近达到一个局域极大值,然后逐渐降低,这对应于Tm开始出现的下临界压力,意味着磁有序会抑制超导;当Ts在2GPa完全消失时,Tc出现第一次台阶式跳跃,升至~20K,表明向列序和超导之间存在竞争关系;在Tm保持升高的2-5GPa压力区间,Tc几乎保持不变,进一步表明磁有序和超导之间存在竞争关系;当压力升高到~6GPa时,Tm开始降低,同时Tc出现第二次台阶式跳跃,实现最高Tc = 38.3K的超导转变;之后,Tc随着压力的增加而缓慢降低;最终,在~12GPa时层状FeSe发生结构相变,转变为具有三维晶体结构六角FeSe,后者电阻率具有出半导体的温度依赖关系(图2c)。在获得相图1时,图3给出的不同磁场下的电阻率数据和图4给出的交流磁化率数据对于甄别磁有序温度Tm和超导转变温度Tc起到关键作用。如图3所示,随着磁场增加Tm不改变而Tc逐渐降低;而图4中抗磁性出现的温度与零电阻率的温度一致。
图1给出的温度-压力相图详细展示了FeSe单晶中电子向列序、磁有序和超导相之间的相互竞争关系,具体揭示了FeSe单晶中的高温超导是通过依次抑制电子向列序和磁有序而逐步实现的。特别是,高温超导紧邻长程磁有序,与其它铁基超导体系类似,而且磁有序消失的临界压力附近的正常态电阻率表现出很好的线性温度依赖关系(见图2),表明临界自旋涨落可能对实现高温超导具有重要作用。值得注意的是,FeSe中磁有序温度Tm和最高超导Tc非常接近,意味着磁有序和超导配对之间具有非常相近的能量尺度,这与其它铁基超导体系是截然不同的。该工作对深入理解FeSe单晶的独特性质、统一理解FeSe-和FeAs-基高温超导机理提供了重要线索。
相关研究成果近日发表在Nature Communications 7, 12146 (2016)。本工作得到国家自然科学基金委、科技部和科学院B类先导专项的支持。参与本工作的合作者还包括:美国橡树岭国家实验室的阎加强博士和B. C. Sales博士(利用助溶剂法生长了高质量的FeSe单晶样品),日本京都大学的Y. Matsuda教授研究组(利用气相输运法生长了高质量的FeSe单晶样品),日本东京大学的Y. Uwatoko教授和T. Shibauchi教授研究组(对气相传输单晶独立开展了部分高压测量,图2d)。
[1] J. P. Sun, K. Matsuura, G. Z. Ye, Y. Mizukami, M. Shimozawa, K. Matsubayashi, M. Yamashita, T. Watashige, S. Kasahara, Y. Matsuda, J.-Q. Yan*, B.C. Sales, Y. Uwatoko, J.-G. Cheng*, and T. Shibauchi*; “Dome-shaped magnetic order competing with high-temperature superconductivity at high pressures in FeSe”; Nature Communications (2016) 7, 12146.
链接: http://www.nature.com/ncomms/2016/160719/ncomms12146/full/ncomms12146.html

图1. FeSe单晶的温度-压力相图。
Ts:四方-正交结构相变(电子向列序Nematic)转变温度;Tm:长程磁有序(SDW)转变温度;Tc:超导(SC)转变

图2. FeSe单晶高压下的电阻率数据。
a:采用活塞-圆筒压腔测试到1.9GPa;b和c:采用物理所的自紧型立方六面砧压腔测试到15GPa;d:采用日本东京大学的恒压型立方六面砧压腔测试到8GPa。

图3. FeSe单晶在高压和不同磁场下的电阻率数据。
可以看出随磁场增加,磁有序温度 Tm不变,而超导转变温度Tc逐渐降低。

图4. FeSe单晶高压下的交流磁化率数据。